Lottie and Lorentzian Length Contraction

@_youhadonejob tweeted this textbook picture with the amusing and sardonic comment “Little girl in this textbook is 5 m tall”.

I liked @jim_henderson60’s take on this when he tweeted: “You see. Physics helps us all grow tall.”

But then I started thinking, what if the 5 m measuring stick was in an inertial frame moving past Lottie’s inertial frame at a substantial fraction of light speed? (In my head, I named the girl “Lottie”, although “Alice” would be more in the more usual tradition of SR* pedagogy, I guess.)

The illustration could represent that single instant at which both ends of the 5 m ruler were precisely opposite Lottie’s head and feet as its inertial frame whizzed by hers…

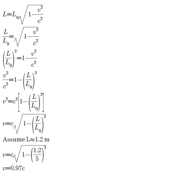
A quick calculation indicated that Lorentz length contraction could indeed account for the relative measurements on the illustration if v = 0.97c

Of course, Lorentz length contraction is a two way street. From the 5 m ruler’s inertial frame, length contraction would make Lottie appear even shorter than her compact 1.2 m. Given that v = 0.97c, I calculate that she would appear only 0.29 m tall.

Correction: not appear. She would genuinely be only 0.29 m tall when viewed from that inertial frame, just as the 5 m rule would genuinely be only 1.2 m long when viewed from Lottie’s inertial frame.

We live in an universe where everything is indeed relative. However, for most of us that takes a fair amount of getting used to…

*SR = special relativity. My brain is currently too small to handle GR (general relativity).

3 thoughts on “Lottie and Lorentzian Length Contraction

  1. paulmartin42's avatar paulmartin42 March 5, 2018 / 5:49 am

    Hmm What is Lottie doing. Is she in a lift ?
    Is it a simple typo …

Leave a comment